Abstract
Carfilzomib (CFZ) is a non-reversible proteasome inhibitor approved for the treatment of patients with relapsed or refractory myeloma (RRMM), either in combination with dexamethasone (Kd) or with lenalidomide and dexamethasone (KRd). CFZ has been associated with a risk of cardiovascular toxicity but although a signal of clinically significant renal complications has also been identified, renal toxicity is less extensively investigated. Thus, we analyzed the data of 114 consecutive patients who received CFZ for RRMM in our center (Department of Clinical Therapeutics, Athens, Greece) for renal outcomes and complications.
Detailed baseline characteristics and medical history (demographics, history of renal and cardiovascular diseases, diabetes, medication use) and detailed data on myeloma status, proteinuria and urine electrophoresis, serum free light chains (sFLC), serum creatinine and cardiovascular complications were available in all patients for the duration of CFZ therapy.
Median age was 70 years (range 36-86, 25% were ≥75) and 60.5% were men. Median number of prior therapies was 2 (range 1-7): 78% had prior bortezomib, 73% prior IMiDs, 27% prior anthracyclines and 46.5% prior ASCT. CFZ dose was 20/27 in 30%, 20/36 in 11% and 20/56 in 59%; 75% received Kd, 14% received KRd and 11% other CFZ-based combinations. Median follow up from start of CFZ is 27 months, median duration of CFZ therapy is 5.5 months (IQR 3.2 to 11.5) and 28 (24.5%) patients continue on CFZ therapy at the time of analysis.
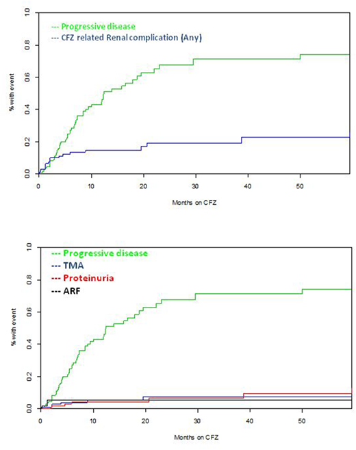
During CFZ therapy, 19 (17%) patients developed renal complications, not related to MM progression: 6 (5%) developed thrombotic microangiopathy (TMA), 7 (6%) developed albuminuria > 1gr/day (in all with very low amounts of light chains or with negative urine immunofixation) and 6 (5%) developed acute kidney injury/ acute renal failure (AKI/ARF) at least grade 3, which was not otherwise explained. Median time to development of renal complications was 62 days (~2 months) (IQR 35 to 272) and in 15/19 patients CFZ was discontinued due to renal complications. Median time from CFZ start to TMA was 3 months (0.3-19.5). At diagnosis of TMA, median platelet counts were 20x109/L (range 11-30), median hemoglobin 8 gr/dl, median LDH 449 IU/L (ULN<225, range 371-619) and median blood schistocytes were 2.5% (range 2%-6.5%). All received plasmapheresis: 5 recovered renal function and platelet counts while one died of sepsis. In 2 patients in whom ADAMTS13 was measured, no deficiency was found. No patient was re-exposed to CFZ after TMA. Median time to proteinuria >1 gr/d was 6 months (range 2-59 months), median proteinuria was 3.7 gr/d (range 1 - 4.5) and in all cases >90% of urine protein was albumin; all patients were in disease remission (VGPR or CR); median eGFR was 53 ml/min/1.73 m2 (range 41-92). Only one patient had proteinuria before CFZ which was mainly Bence Jones proteinuria. Following interruption of CFZ, proteinuria decreased in 2/7 patients and in one patient CFZ was resumed at a reduced dose.
A renal biopsy was performed in 5/6 patients with albuminuria and one with AKI: none had immunoglobulin mediated pathology (cast nephropathy, MIDD or amyloidosis) or pathology related to the alternative complement activation pathway. The most constant finding (in all patients with albuminuria), was a pattern of focal segmental glomerulosclerosis (FSGS) of various subtypes. Coexistent with the previous lesions, a pattern of TMA with intraglomerular and/or arteriolar fibrin microthrombi and/or mucoid degeneration of arteriolar/arterial wall and/or reduplication of glomerular basement membranes with endothelial cells' swelling, was seen in 4 biopsies.
We found no association between CFZ dose with renal complications or of baseline proteinuria (immunoglobulin or albumin), sFLC or myeloma type, age, prior history of cardiovascular disease or hypertension or baseline eGFR. Among 33 patients with baseline eGFR < 60 ml/min, 18 (54.5%) patients improved their eGFR to >60 ml/minafter CFZ therapy.
We conclude that renal complications during CFZ therapy are common, occur mostly early and are essentially unpredictable. Albuminuria associated with FSGS and TMA developed in 6% and 5% of our patients respectively and warrant further investigation. A potential effect of CFZ on the renal endothelium could be implicated in the pathogenesis of these complications and may also share common pathophysiology with cardiovascular effects of CFZ.
Kastritis:Amgen: Honoraria, Membership on an entity's Board of Directors or advisory committees; Celgene: Honoraria, Membership on an entity's Board of Directors or advisory committees; Janssen: Honoraria, Membership on an entity's Board of Directors or advisory committees; Takeda: Honoraria, Membership on an entity's Board of Directors or advisory committees; Prothena: Honoraria, Membership on an entity's Board of Directors or advisory committees. Terpos:Genesis: Consultancy, Honoraria, Membership on an entity's Board of Directors or advisory committees, Other: travel grant, Research Funding; Janssen: Consultancy, Honoraria, Membership on an entity's Board of Directors or advisory committees, Other: member of steering committee, Research Funding; Takeda: Consultancy, Honoraria, Membership on an entity's Board of Directors or advisory committees, Other: travel grant, Research Funding; BMS: Consultancy; Celgene: Consultancy, Honoraria, Membership on an entity's Board of Directors or advisory committees, Other: member of DMC, Research Funding; Amgen Inc.: Consultancy, Honoraria, Membership on an entity's Board of Directors or advisory committees, Other: travel grant, steering committee member, Research Funding; Novartis: Consultancy. Dimopoulos:Janssen: Honoraria; Amgen: Honoraria; Celgene: Honoraria; Bristol-Myers Squibb: Honoraria; Takeda: Honoraria.
Author notes
Asterisk with author names denotes non-ASH members.

This feature is available to Subscribers Only
Sign In or Create an Account Close Modal